Electrical resistance definition and calculations.
Resistance is an electrical quantity that measures how the device or material reduces the electric current flow through it.
The resistance is measured in units of ohms (Ω).
If we make an analogy to water flow in pipes, the resistance is bigger when the pipe is thinner, so the water flow is decreased.
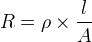
The resistance of a conductor is resistivity of the conductor's material times the conductor's length divided by the conductor's cross sectional area.
![]()
R is the resistance in ohms (Ω).
ρ is the resistivity in ohms-meter (Ω×m)
l is the length of the conductor in meter (m)
A is the cross sectional area of the conductor in square meters (m2)
It is easy to understand this formula with water pipes analogy:
![]()
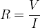
R is the resistance of the resistor in ohms (Ω).
V is the voltage drop on the resistor in volts (V).
I is the current of the resistor in amperes (A).
The resistance of a resistor increases when temperature of the resistor increases.
R2 = R1 × ( 1 + α(T2 - T1) )
R2 is the resistance at temperature T2 in ohms (Ω).
R1 is the resistance at temperature T1 in ohms (Ω).
α is the temperature coefficient.

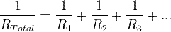
The total equivalent resistance of resistors in series is the sum of the resistance values:
RTotal = R1+ R2+ R3+...

The total equivalent resistance of resistors in parallel is given by:
![]()
Electrical resistance is measured with ohmmeter instrument.
In order to measure the resistance of a resistor or a circuit, the circuit should have the power supply turned off.
The ohmmeter should be connected to the two ends of the circuit so the resistance can be read.
Superconductivity is the drop of resistance to zero at very low temperatures near 0ºK.